Ontological Arguments and the Catholic Church
0
votes
2
answers
266
views
This question is related to https://christianity.stackexchange.com/questions/97517/objections-to-natural-theology-at-the-time-of-vatican-i
In contrast to the observance of natural phenomena in order to arrive at the conclusion that God exists, an [*ontological argument*](https://en.wikipedia.org/wiki/Ontological_argument) is one which draws the same conclusion from some source other than observation of the world; e.g., from reason alone.
The first such well-known argument, I believe, is the one attributed to St. Anselm, which (though multiple versions exist) I paraphrase as: "God is that Being Whom nothing greater can be conceived" — the proof of which can be assembled by reading his *Proslogion*. His argument which one may infer therein became famous; and then criticized a century or so later by St. Thomas Aquinas.
Many variations of Anselm's demonstration, as well as many criticisms, followed throughout the centuries.
In the twentieth century, the great logician Kurt Gödel (probably following the writings of Leibniz rather than that of Anselm), formalized a logical argument (with parallels to Anselm) which has been hailed as correct.
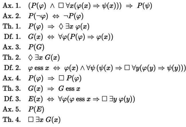
For those familiar with logical symbols, see, for example, [*Gödel Says God Exists and Proves It*](https://mindmatters.ai/2021/06/godel-says-god-exists-and-proves-it/) ; and his proof is this:
Of course, the validity of [Gödel's argument](https://en.wikipedia.org/wiki/G%C3%B6del%27s_ontological_proof) (which is now widely accepted) depends on acceptance of his definitions (the Df.'s) and the inherent truth of his axioms (the Ax.'s).
QUESTION: What (if anything) has the Catholic Church declared (by say, either Council or papal encyclical) about affirming God's existence by reason alone; i.e., by some (apparently correct) ontological argument?

Asked by DDS
(3266 rep)
Oct 27, 2023, 02:24 PM
Last activity: Nov 27, 2023, 06:29 AM
Last activity: Nov 27, 2023, 06:29 AM